【環氧涂料】不斷進步,更上一層樓一種新型助劑可同時提高多個關鍵的性能
摘要:為同時提高雙組分環氧涂料的多個關鍵性能,研發出一種新型助劑。使用該助劑,柔韌性、附著性和耐腐蝕性都有所提高。在活化期和固化速度之間的平衡也有所改善。
試驗配方詳細信息
制備了3種混合物(見表1)。助劑的含量各不相同。如有可能,將助劑添加到液態環氧樹脂中。然后,加入溶劑并攪拌3 min。最后,加入固化劑再攪拌3 min。3種配方中使用的溶劑分別是醋酸丁酯、二甲苯和甲乙酮。

表1 試驗配方
胺加成物廣泛用于固化環氧樹脂。這些含胺的加成物與足夠量的環氧樹脂發生反應,以提高胺和環氧樹脂之間的相容性。在下面描述的例子中使用的胺加合物是由4份(質量)的胺(XTA801,亨斯邁公司,見圖1)和1 份環氧樹脂(EPON 828,亨斯邁公司,見圖2)組成。

圖1 “ XTA801”胺組成成分

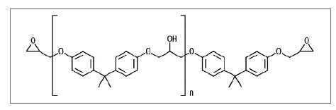
圖2 雙酚A型環氧樹脂;n=0“Epon 828”
胺本身是1,4-雙(氨基甲基)環己烷(60%~100%)、亞氨基-雙(4-氨基甲基-4'-環己基甲基)胺(13%~30%) 和3-氮雜雙環[3.2.2]壬烷(1%~3%)的混合物,如圖1中 A、B、C分別所示。該加成物的配制是將600 g胺加入大玻璃瓶中,緊接著加入150 g環氧樹脂,室溫下攪拌8 h。雖然試驗中使用了這種特制的固化劑,但這并不限制使用其他加成物或固化劑。
通用環氧配方如表1所示。固化劑中胺氫當量 (AHEW)為48.6,而環氧樹脂的環氧當量(EEW)為188。固化劑與環氧樹脂的比率(胺氫當量/環氧當量)為0.8。上文所提到的各種溶劑均適當添加。標準檢測樣板是通過使用刮棒將環氧樹脂混合物涂覆在0.8 mm×76mm×127 mm的冷軋鋼鋼板(R35試驗板底板來自美國 Q-Lab公司)上,然后在23 ℃、相對濕度為50%的環境下固化7 d制得。
本文系作者授權中國涂料網發表,并經中國涂料網編輯,未經允許不得轉載,如需轉載請聯系chinacoatingnet@vip.163.com
